Biomass
Antarctic ecosystem
Krill (Euphausia superba)
Grym: A new open-source implementation of the generalised yield model for flexible stock assessments
Summary
The new Grym software package represents a successful modernization of fisheries assessment tools, replacing the outdated FORTRAN-based GYM software with an open-sourcesoftware written in the programming language R. This upgrade maintains all essential functionality for fisheries stock projections while delivering improved flexibility and computational precision.
The new system fixes critical technical problems that plagued the old software, particularly crashes that occurred when studying fish populations with unpredictable recruitment patterns (when young fish join the adult population). Extensive testing on three different types of Antarctic species - icefish, krill, and toothfish - showed that Grym produces nearly identical results to the original software, ensuring continuity for existing research.
The package's modular design built in R programming language offers significant advantages for researchers. Users can now easily test different recruitment models and mortality assumptions, enabling more sophisticated analyses than previously possible. The program is also open-source, meaning scientists worldwide can examine the code, verify results, and contribute improvements.This enhanced flexibility positions Grym to support advancing fisheries science, including upcoming assessment work under the Commission for the Conservation of Antarctic Marine Living Resources (CCAMLR) krill management work plan.
The new system fixes critical technical problems that plagued the old software, particularly crashes that occurred when studying fish populations with unpredictable recruitment patterns (when young fish join the adult population). Extensive testing on three different types of Antarctic species - icefish, krill, and toothfish - showed that Grym produces nearly identical results to the original software, ensuring continuity for existing research.
The package's modular design built in R programming language offers significant advantages for researchers. Users can now easily test different recruitment models and mortality assumptions, enabling more sophisticated analyses than previously possible. The program is also open-source, meaning scientists worldwide can examine the code, verify results, and contribute improvements.This enhanced flexibility positions Grym to support advancing fisheries science, including upcoming assessment work under the Commission for the Conservation of Antarctic Marine Living Resources (CCAMLR) krill management work plan.

1
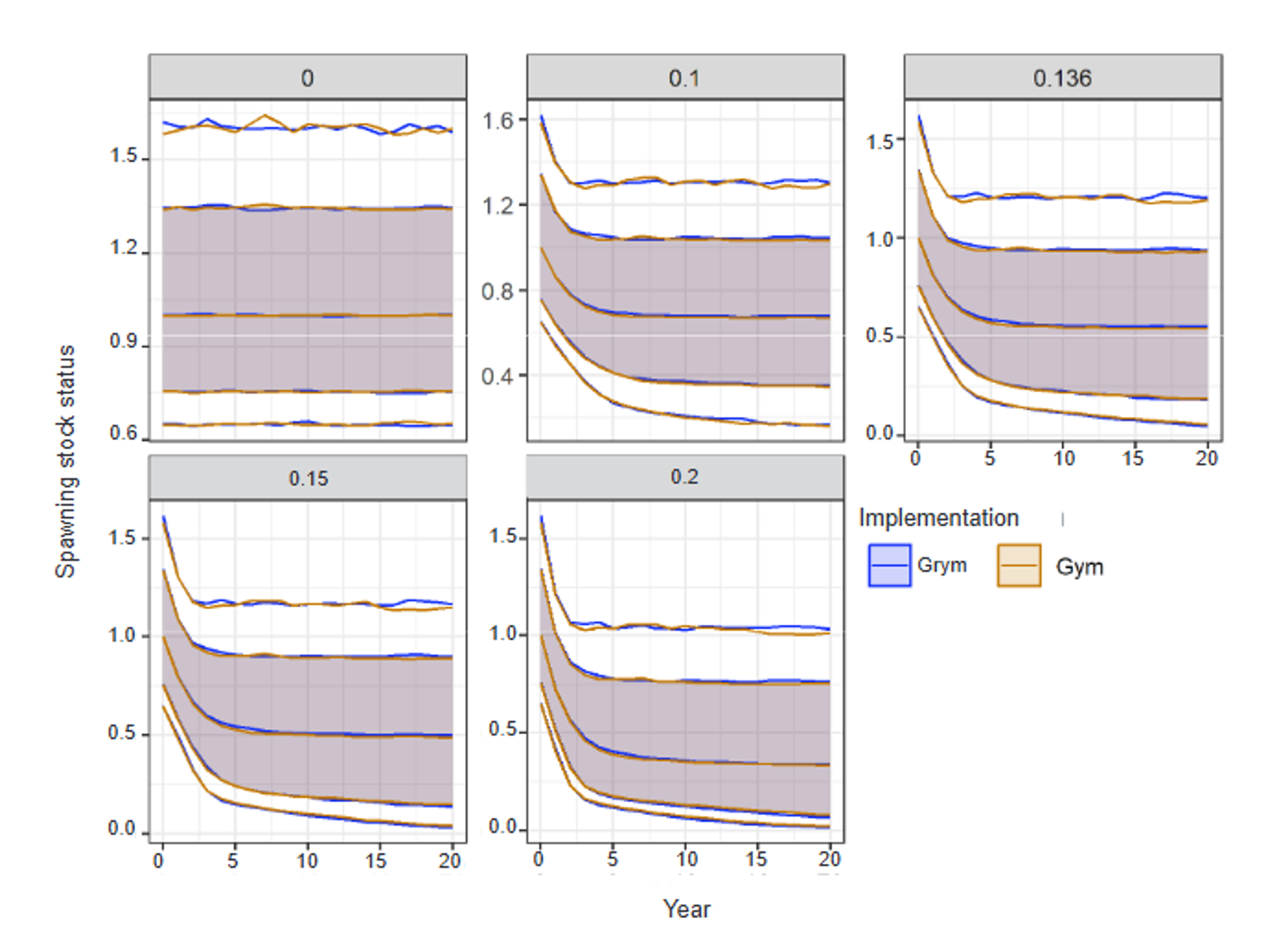
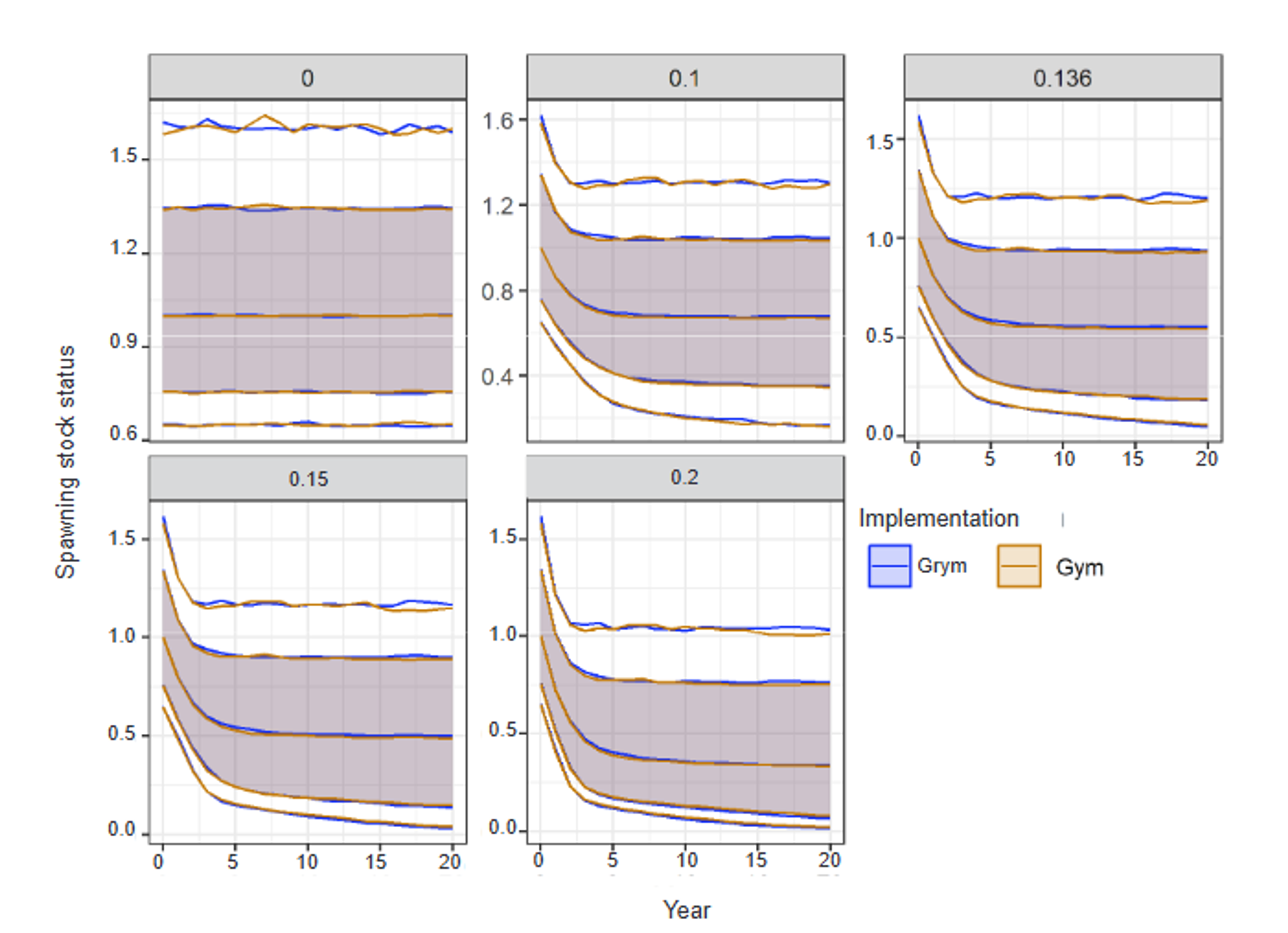
This figure compares Grym and GYM software projections for Antarctic krill (Euphausia superba) stocks over 20 years under different gamma parameter tests. The analysis shows 90% and 80% confidence intervals along with median population projections. The gamma tests evaluate various recruitment and population dynamic assumptions to assess projection sensitivity. The close agreement between Grym and GYM outputs across scenarios demonstrates the new software's reliability while maintaining scientific integrity for Antarctic krill stock assessments under CCAMLR management frameworks.Key Findings
1
Successfully recreated all core functions of the original GYM fisheries software within a modern, freely available R programming package. 2
Enhanced mathematical accuracy by using more precise integration methods, resulting in more reliable population projections than the original software.3
Resolved critical software crashes that occurred when analyzing fish populations experiencing extreme year-to-year variation in new recruits joining the population. 4
Validated the new software by comparing results across three major Southern Ocean species assessments—icefish, krill, and toothfish—showing nearly identical outputs to the original GYM software. 5
Designed a modular structure that allows scientists to easily test different assumptions about fish population dynamics and incorporate new biological models into their analyses.6
Made all code publicly available so researchers worldwide can examine methods, verify results, and contribute improvements to the software.